Ophævelse af tyngdekraften
There is Something rotten in the State of Physics.
Så er der fysiktime, og i modsætning til folkeskolen bliver det skide skægt!
Det handler om tyngdekraften, en postuleret naturkraft som videnskaben aldrig har evnet at forklare. Vi lover ikke at forklare den til bunds, men vi vil forsøge at kortlægge, hvorfor videnskaben aldrig har forklaret deres 400 år gamle påstand, og hvor sådan ca. det gik galt.
Til lejligheden er der selvfølgelig samlet et stak kloge hoveder, der har gjort deres hjemmearbejde. Et par andre såkaldte kloge hoveder vil muligvis blive et hoved kortere undervejs. Vi vil forsøge at gøre det kunststykke at ophæve tyngdekraften.
Husmor-fysik
Det første kloge hoved er til en behagelig afveksling en kvinde. Paris Spaulter er en dame, der har været husmor hele sit liv, mens hun undervejs har udraderet både Newton og Einstein! Hun er selvfølgelig ingen helt almindelig husmor, for hun har en PhD i biokemi og en årrække som forsker bag sig. Men med sin mands support betød det, at hun kunne bruge al sin tid på at nærlæse skrifter fra den videnskabsmand, der gjorde den største forskel, og som af besynderlige politisk-strategiske, ideologiske og videnskabshistoriske – og muligvis religiøse – årsager aldrig blev nærlæst. Vi taler om Johannes Kepler.
Kepler formulerede 3 fysiske love, men den tredje lov blev aldrig læst af Newton, der blev født 12 år efter Keplers død. Denne fatale lapsus blev aldrig siden korrigeret, for alle godtog efterfølgende Newtons udsagn om tyngdekraft: at alle observerbare tiltræknings-fænomener i det kendte univers baserede sig på legemers masse.
Kepler havde afstukket en anden vej, for han byggede i modsætning til Newton sine love på observationer og data. Newton brugte ikke de udsøgte data, der var tilgængelige – altså Keplers data baseret på Tycho Brahes observationer gennem 30 år. Newton gættede i den blå luft, men han slog alligevel igennem – ikke på grund af sin viden, men fordi han var en del af The Establishment i England på sin tid. Han var tidens og elitens Big-Shot. Kepler var klar over, at alle de planeter, man kunne observere på det tidspunkt, roterede om deres akse på samme måde og i samme omdrejnings-retning som Solens rotation om sin akse. Med den viden, der opstod i det efterfølgende århundrede frem til Ørsted, ville man set i bakspejlet nok have sagt, at det var et elektrisk eller magnetisk fænomen, for nøjagtig sådan opfører magneter sig. NB: magnetisme er en form for elektricitet.
Fejltagelsen om tyngdekraft kører uantastet videre gennem historien, så Einsteins ideer om rum-tid og lysets krumning, hans relativitet og hans termodynamik får århundreder senere lov til at udvikle sig til rene spekulationer. Hans videnskab bygger ikke længere på observationer af naturfænomener (bortset fra anekdoten med æblet), men er rene matematiske spekulationer. At Einstein overraskende nok var en elendig matematiker, gør ikke sagen bedre. Han roder sig ud i absurditeter om, at tiden skulle være den fjerde dimension, hvorefter hans efterfølgere går helt grassat i x-antal dimensioner, parallelle universer og videre ud af en streng til absurd spekulative strengteorier. Ingen af disse spekulanter er i dag i stand til at forklare tyngdekraft, for ingen har tænkt på at vende tilbage til præmissen, som Johannes Kepler, havde afstukket i sin tredje lov.
Newton burde i virkeligheden have været på sporet blot ved at betragte æblets form. Det kosmiske æble er formen på et rundt legemes elektriske felt. Men på hans tid talte man ikke om elektricitet.
På Keplers og Tycho Brahes tid havde man kun adgang til at observere en vis del af solsystemet. De ydre planeter Pluto, Neptun og Uranus var udenfor observerbar rækkevidde. De store mellemliggende planeter var kendt: Saturn, Jupiter og Mars, og ligeledes de indre planeter: Jorden, Venus og Merkur (rækkefølge udefra og ind mod Solen). I dag har vi adgang til studere alle ni planeter + en masse andet indenfor og udenfor solsystemet: asteroider, kometer, bælter – galaksen, andre galakser, forskellige former for stjerner, stjerneskyer, o.m.a. Præcisionen og omfanget af observeret data er meget stor.
Da Paris Spaulter startede sit livsværk, var det med den hensigt at udforske og understøtte Keplers solide data med opdateret og mere fuldstændig data. Alt, hvad hun stødte på, viste sig at understøtte Keplers 3. lov. Hun har derfor i sin bog Gravitational Force of the Sun totalt omformuleret Newtons definition af tyngdekraft til værende et produkt af acceleration og areal.
Skt. Einstein
Efter at Einstein havde formuleret sin generelle relativitetsteori, prøvede hans videnskabelige efterfølgere dernæst at tilpasse Naturen/Kosmos til denne teori. Det kaldes vistnok: at tillpasse landskabet til kortet. Det er sket helt frem til for nylig, hvor fx amerikanske skatteydere har betalt milliarder og milliarder af dollars på projekter som Lazer-interferometret Leigo og Tokamac-reaktoren uden at disse har været i stand til hverken at påvise tyngdekraft eller at producere en eneste kilowatt energi. Begge en total fiasko. Havde man læst Kepler dengang og forstået, at tyngdekraft ikke findes, men at alt i Universet er elektricitet, havde vi i dag haft ren energi, minimal forurening, ingen dødssyg medicinalindustri og kun en brøkdel af de krige, hvor diverse statsmagter og superstatslige organer myrder løs på jordens befolkninger pga af eksplosivt ineffektivt brændstof. Fattigdom havde ikke haft ben at gå på, og vi havde ikke levet i en verden gennemsyret af løgn-på-løgn-på-løgn. Vi havde sikkert også været forskånet for både atomkraft og Al Gores klimasvindel. Svindel står på skuldrene af svindel.
De tre største skurke og svindlere i videnskabens historie er Newton, Darwin og Einstein. Før Einstein var det stadig almindeligt og respektabelt at anvende observations- og eksperimentel data. Med Einstein – og det er yderst tvivlsomt, om Einstein egentlig selv var i stand til selv at udføre den slags – blev der introduceret avanceret matematik. Matematikerne kuppede fysikken, fysikken blev kryptiseret, monopoliseret og patenteret.
Alan Watt beskriver fænomenet Einstein som følger: han havde i sin barndom og ungdom svært ved at forstå … alt muligt. Han var intet geni eller barnestjerne. Han var derimod så heldig at få et job i patentbranchen. Her må man forstå, at patenter ikke er til for at beskytte opfindere og deres opfindelser men er til for at stjæle de for Big-Industry særligt vigtige opfindelser og sørge for, at de aldrig bliver realiseret. Kun patenter, der er harmløse i den større sammenhæng, får lov til at gå igennem. Branchen var allerede dengang et organ for den globale elite. Dette er et helt emne i sig selv, men Einstein gjorde sin fyldest i branchen ved at hjælpe til med at stjæle patenter, hvilket åbenbart var hans egentlige talent. Som belønning gjorde opfindelses-tyvenes globale mafia – vi behøver blot at tænke på en af de kirkelige opfindere og genier, Nicola Tesla, hvvis opfindelser blev stjålet eller ødelagt af J.P. Morgan – altså patent-tyvene gjorde Einstein til en videnskabelig helgen. Det er den slags, de kan. Så centralbank-eliten, zionisterne eller jesuitterne, same-same, markedsførte med største effektivitet middelmådigheden og svindleren Einstein som det ultimative videnskabelige geni. Den skade – eller man burde måske snarere sige spot føjet til skade – som Einstein-kulten tilførte videnskaben, er umådelig. Hans forvoldte skade byggede på i forvejen forvoldt skade.
I sin bog, The Incorrigible Racist Albert Einstein, tager forfatter Christopher Jon Bjerknes den endnu videre og erklærer Einstein for en plagiør, en svindler, en pseudovidenskabsmand. Det var hans kone, Mileva Einstein Maric, der skrev det meste. De havde en aftale om at holde det hemmeligt, og da han fik Nobelprisen for plagiatet – hendes plagiat altså – sendte han iflg. aftalen det fulde beløb til hende. Han blev så hårdt grillet i Tyskland for sit plagiat og fordi han ikke engang kunne gøre rede for de fysikeres værk, Pointcaret, fx. som han han havde plagieret, at han måtte flygte til USA. Som formål skriver han selv i sine breve, at det var for at promovere zionismen. I USA blev han også grillet, men myte-maskinen, zionisterne havde bygget op omkring ham, var i stand til at henlede enhver opmærksomhed på hans sjove hår og eksentriske vaner og fuldstændig væk fra hans slingrende makværk. Hver eneste gang, der kom videnskabelig kritik, hylede zionisterne op om anti-semitisme og gjorde dermed seriøst faglig diskussion og kritik politisk ukorrekt. Visse sider af hans person, derimod, blev fuldstændig udeladt, fx. hans pædofile tendenser. Da han ikke kunne bolle sin kusines mindreårige datter, giftede hans sig med kusinen i stedet, så han kunne tage for sig af hele familien. I et brev kalder han dem mit lille harem.
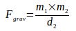
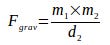
I Keplers 3. lov er der ingen masse involveret. Derimod kan den fortolkes og læses som et produkt af acceleration og areal. Jo større overfladeareal, jo større acceleration, jo større tiltrækning. Så tyngdekraft er et misvisende ord, for det er ikke tyngde, der skaber tiltrækning.
Fortolkningen af Kepler siger dermed:
altså Komprimering = accell2 / areal3
Vi taler her om roterende legemer med meget stort overfladeareal. Rotationen er skabt fra en centralmotor, Solen, der igen er en lokal transformer-station for en galaktisk roterende centralmotor (der igen …). Tyngde = komprimering sker altså ikke via legemets masse men ved, at det roterer som en elektrisk generator koblet op i en universelt generator-system. Tilgiv, hvis det foreløbig lyder som endnu en kosmisk maskinmodel.
Som kompensation for den manglende evne til at forklare den påståede tyngdekraft er videnskaben til gengæld rig på fantasifulde bortforklaringer. I partikelfysikken tales der ikke overraskende om gravitoner, alt bliver materialiseret og gjort til partikler. Man taler om indadkrumning, 4-dimensionel geometri. Tyngdekraften forbryder sig mod videnskabens egne love og bevarelse af energi som en konstant. For at kunne tro på fænomenet, må man anlægge et slags religiøst trossæt. Det hævdes også, at tyngdekraften blev skabt i The Big Bang. Det er absurd, for uden tyngdekraft ville alt stof være jævnt fordelt i universet og ikke komprimeret i én benhård singularitet.
Magnetisme er også en form for elektricitet.
Sir Isaac havde lige være hos frisøren
Så ud med Newtons tyngde = masse x masse / afstand:
Det er ikke matematik, der er problemet
Det er mytematik og har ført til en hær af mytematiske vanskabninger på det seneste:
sort stof
sort energi
sorte huller
singulariteter
hændelseshorisonter
WIMPS (svagt interagerende massive partikler)
MOND (modificeret newtonsk dynamik)
MACHO (massivt kompakt holo-objekt)
neutronstjerner
gravitationskollaps
gravitoner
tyngdebølger
kvantetyngde
indad-trækkende tyngde
tyngdelinse
tyngdekonstant
Schwartzchild-radius
tyngdeudstråling
frame dragging
generel relativitet
kvantefeltsteori
anti-gravitet
anti-stof
… og mange flere. Det seneste misfoster fra partikel-industrien er gud-hjælpe-os guds-partiklen, som de gale videnskabsfolk hævder at have fundet i Hadron-Collider’en i CERN. Idioterne mener seriøst, at de kan finde Skaberen, blot de finder en partikel, der er lille nok til, at den kan være inde i alle andre partikler. Det er reduktionstisk materialisme, og videnskabens hovedproblem er just dette. De har til gengæld fået tildelt uendelige ressourcer til at købe legetøj for. De har gode venner med penge på lommen.
Eller også foregår der noget helt andet i CERN, end vi får at vide, for hele skrønen med Hicks-Boson-partikel-ræset virker næsten barnagtigt, det lugter af smoke-screen. Hvis man ser på de to enorme ringe af elektriske felter, der er lagt ovenpå hinanden i CERN-collideren, så tænker man på en enorm Tesla-generator. Historikeren Joseph P. Farrell er ikke bleg for at rode sig ud i visse højoktan-spekulationer i den forbindelse ved at gætte på, at de er i gang med at etablere et torsionsfelt, der tapper ind i Solens energifelt. Der er i i den forbindelse målt voldsomme udsving i Jordens magnetfelt, når de kører med maskinen. Et meget mørkt og potentielt meget farligt projekt, der i så fald hænger sammen med The Secret Space Program og The Black Budget og The Shadow Banking System. Folk, der ikke er blege for at inkludere okkulte emner deres research som dr. Farrell, kunne også komme på den tanke, at de prøver at åbne en dimensionsportal eller er ved at udvikler et gigantisk våbensystem, der kan ryste hele kloden. Vi kan kun gætte på, hvad der kan finde på at vælte ud af den slags – noget fra et fantasy-univers eller en Hollywood-produktion med masser af 3D-grafik. Og ikke noget nuttet.
CERN laver selvfølgelig også andet, hvoraf noget endog kan være nyttigt, og den enkelte videnskabsmand er ikke klar over, hvis der foregår noget andet end det, han tror han er hyret til. Nørder kan være lige som små børn, optaget af deres egen leg, lallende derudaf, indtil den dag det går galt eller opdager, at de ikke arbejdede for den hellige forskning men for en filial af militærindustrien. CERN-projektet med collideren er så vanvittigt stort, at det antager militære dimensioner.
Geni og fake-geni
Et ægte geni derimod, Nicola Tesla, havde ikke høje tanker om Einstein og hans følge. Han skrev:
Nutidens videnskabsfolk har erstattet eksperimenter med matematik, de vader igennem ligning efter ligning og ender op med at have bygget strukturer, der ingen forbindelse har til virkeligheden.
Deres teori en en tigger klædt i purpur, som uvidende folk antager for at være en konge. Teoriens eksponenter er strålende, men de er metafysikere snarere end videnskabsmænd.
Og Tesla var en mand, der vidste, hvad han talte om. En højtuddannet fysiker i modsætning til Einstein, der blot var en patentfunktionær. Tesla var tæt forbundet med virkeligheden, og rækken af opfindelser og opdagelser, det skyldes ham, er mildt sagt forbløffende:
radio
vekselstrøm
lazer
radar
røntgen
trådløs kommunikation
strålevåben – star-wars-teknologi
trådløs elektricitet
celleteknologi
elektronmikroskopet
mikrobølgeteknologi
hydro-elektriske generatorer
neonlys
flouricerende lys
fjernstyring
elektronisk robotstyring
Denne liste er kun en brøkdel af hans enorme fortjenstliste. Han forudså bla. Mobiltelefoni i 1909.
Han hovedkritik mod datidens – og desværre stadig nutidens – fysik er den totale negligering af æter. Det svarer til det bibelske begreb Firmamentet. Æter er som bekendt et antikt begreb, og vi kan højst et stykke hen ad vejen (gen)bruge det af mangel på bedre.
Tesla sagde videre:
Et godt eksempel for sådan en interaktion bliver klart i forhold til tyngdekraften, der snarere burde kaldes Universel Kompression. Jeg mener, at materielle legemer ikke udøver tyngde mod hinanden, men det er æteren, der får disse legemer til at komprimere i forhold til hinanden.
Vi kalder fejlagtigt dette fænomen for tyngdekraft.
Stjernerne, planeterne og hele Universet dukke ud af æteren, da dele heraf af forskellige årsager blev mindre tætte (dense).
Man må give så meget credit til Einstein, at han faktisk tvivlede på sine egne teorier og gav udtryk for det ved flere lejligheder. Det glemmer man som regel at nævne, og på det punkt var han måske klogere end einsteinianerne. Som erstatning for æter – eller måske snarere: som re-branding af det, har videnskaben opfundet et surrogat, de kalder for sort stof (dark matter).
Einstein kom i øvrigt overhovedet ikke op med relativitetsteorien, der skyldes David Hilbert. Og forudsætninger for teorien var allede udviklet af hans kone Mileva, et helt videnskabshistorisk kapitel i sig selv – baseret på plagiater og stjålent gods fra videnskabsfolk, der ikke senere blev citeret for det eller fik credit for det. En anden misforståelse var, at Einstein var en del af Manhattan-projektet. Han blev tidligt hægtet af af bla. Oppenheimer, der anså ham for en nitwit.
Einstein 2.0 – du ku’ da ikke finde på at kritisere en krøbling, vel?
Den samme ensidige forgudelse af den påståede geniale videnskabsmand ser vi med gnomen Stephen Hawking, der er blevet markedsført som en Einstein 2.0. Her får vi også sjældent at vide, at der er mange lige så begavede folk i hans branche, der er fuldstændig uenige med ham. Og det faktum, at han med sin sygdom burde være død for længst eller have mistet sin intelligens mere end tyder på, at han er et kunstprodukt af de usynlige genimagere, der gennem verdenshistorien har øvet sig på at fabrikere disse gudebilleder. Eksempler fra verdenshistorien: skikkelsen Wolfgang Amadeus Mozart, en geni-gud fra musikkens verden, var sandsynligvis et af disse skabelser. Bag personen gemmer sig op til 60 forskellige italienske komponister, hvoraf et par af dem til gengæld mistede deres egne fortjente krav på berømmelse i dette mediestunt. Her var mester-iscenesætteren bla Wolfgangs egen far, der var agent for den tidlige udgave af musikindustrien, en gren af publiceringsbranchen, der har venetianske rødder (her lyser visse røde lamper). Vi ved i dag, hvordan popmusik-industrien nærmest massefabrikerer døgnflue-udgaver af disse kunstige gudebilleder.
Begrebet æter (eng. ether) er den tids ord for at udfylde det slip, videnskaben leverer. Hos Walter Russell bliver begrebet erstattet af en differentiering til 17 gasser, luftarter, der bebor det ‘tomme rum’ og alle kan transportere lys. Begrebet er desværrre belastet af, at NewAge’erne har brug for et simpelt begreb. Nicola Tesla og Victor Schauberger bruger egentlig blot udtrykket, fordi de endnu ikke er nået frem til den differentiering, som Russell præsenterer. Robert Otey bruger udtrykket ether-junkies 😉 om de, der indenfor NewAge har det med at hente begreber ind fra antikke spirituelle traditioner – og så i øvrigt få dem galt i halsen. Og NewAge er som bekendt ikke videnskab men religion. En skikkelse som Jan Oldenkamp taler hele tiden om æter og atter æter, og han vil helst ikke kaldes NewAger …
Skaberen kan aldrig findes i en partikel, som i eksemplet guds-partiklen. Skaberen skal iflg Russell findes i det Stille Magnetiske Lys, der kontrollerer Universet.
Geniet i et tilfældigt useriøst øjeblik?
Eller sabbatæerens hilsen til sin gudinde, Kali?
Den sorte moder med det sorte hul.
Og så er der de sorte huller, black holes / Black Holio-myten. Gudinden Kali og kabbalisternes illusionisme – vi skulle måske sige illuminisme – har åbenbart sneget sig indenfor i kosmologien og fysikken. Onde tunger hævder, at Einstein blot var en kabbalist forklædt som videnskabsmand. Bøgerne i hans bibliotet kunne tyde på det. I hvert fald har hans videnskabelige sidespor ansvaret for, at videnskaben i dag er kørt ud på et uproduktivt sidespor. Noget kunne tyde på, at der gemmer sig en særlig interesse bag. I tilfældet Tesla var denne interesse, den skjulte agenda, i hvert fald så tydelig, at den for en stund trådte frem på scenen i skikkelse af J.P. Morgan som repræsentant for finanserne og mørkemændene fra efterretningsvæsenet som repræsentant for Deep State Gestapo, det 20 århundredes spanske inkvisition. Tesla blev karaktermyrdet af mørkemændene. Einstein på sin side udtrykte ret klare zionist-sympatier, og har man sagt zionist, har man samtidig sagt jesuit. Så havner vi desværre nok igen ved de infame, sataniske kabbalister, der altid opererer i maskinrummet, hvor den store manipulation med menneskehedens bevidsthed og skæbne foregår. Skæbne-ingeniørerne er måske et passende navne for dem.
Disse skæbnens mørkemænd har meget at takke Newton-Einstein for, for via det store århundrede-varende vildspor har vi stadig ikke den videnskab, vi burde have haft, hvor ren energi og energimedicin for længst havde erstattet den på alle måder beskidte olieindustri og lige så beskidte medicinalindustri.
Stephen Crothers har via sin praksis i forensic science = retsmedicin debunked einsteinism, relativitetsteori, termodynamik, big-bang og sorte huller. Han fanger dem med bukserne nede i deres egne selvmodsigelser og falske logikker. Han siger, at de lever i en matematisk fantasiverden, og ingen er i stand til at modsige hans argumenter.
Universet set fra universitetet
Ideen om at der findes steder i Universet, hvor tyngdekraften er så stor, at den suger alt stof ind – kaldet Sorte Huller – er udsprunget af BigBang-teorien, hvor hele Universet var et sådan sort hul – der så lige pludselig fik nok af sig selv og udspyede Universet i en slags kæmpe orgasme-eksplosion, Das Urknall. Et tankesæt for små drenge, der leger med sprængstoffer og onanerer for meget. Videnskaben glemmer at minde os om, at det blot er en teori og taler om det, som var det et allerede accepteret faktum. Ideen om neutronstjerner, der skulle være sådanne sorte huller, er gravitations-mytematik. Tyngde og magnetisme kan forklares helt simpelt og meningsgivende som elektricitet, så der er overhovedet ikke brug for at tale om tyngde.
BigBang-teorien var i øvrigt skabt af en katolske (jesuitisk) præst ved navn Lemaitre med henblik på mind controll. Derfor stod paven også i foyéen og bød de indbudte velkommen ved den konference i Det Europæiske Astronomiske Selskab i 19??, hvor teorien om The Big Bang blev præsenteret for første gang. Han sagde: Mine herrer! Jeg ønsker jer tillykke. For I har just bekræftet vores Fiat Lux (… og Gud skabte Verden og sagde: Lad der blive lys). Bemærk udtrykket vores. Der var efter sigende en del videnskabsfolk, der fik en ubehagelig fornemmelse ved religionens uventede og upassende omklamring af videnskaben. Et ideologisk-videnskabeligt statskup (husk at Vatikanet er en stat).
Halløj i Vatikanet – Pateren opfandt ur-orgasmen, the nutty professor krummede rummet som en italiensk salami. På samme tidspunkt lavede Vatikanet en aftale med zionisterne om fælles sag. Tilfælde?
Walter Russell brugte ganske vist begrebet sorte huller, men han mente noget helt andet end akademia-fysikken og gjorde nærmest grin med dem. Russell, brugte udtrykket til at modsige den einsteinske ide om Universets varmedød (termodynamik) i form af døende sole til at påpege, at der er lige så mange steder i Universet, hvor sole bliver født. Eller opskaleret: hvor galakser bliver født (det mystiske fænomen med kvasarerne). Man bliver nødt til at tale om Sorte Huller + Hvide Huller eler noget tilsvarende, der forklarer det store kosmiske Yin-Yang. Terminologi er skrøbeligt, sprog er ufuldkomment.
BigBang er evolution i kosmisk terminologi. Det er her, hvor det iscenesatte fake-geni mellem Newton og Einstein, Charles Darwin, kommer ind. Tyngdekraft findes ikke. Evolution findes ikke. BigBang findes ikke. Menneskeheden udvikler sig ikke, den indvikler sig, den de-evolverer. Alt menneskeligt er blevet underkastet én stor de-generation. Der fandtes en forudgående civilisation før den nuværende, sandsynligvis for 13.000 år siden +, der blev udslettet. De havde en ekstrem højteknologi, og vi kan stadig se rester af den i dag. Dateringen er usikker, og vi er nødt til at tale i relativ tid og ikke absolut – altså noget kom før noget andet, der kom før noget tredje. Så 130.000 år kan sagtens være en virkelighed bag 13.000 år. Udslettelsen fandt sted – sandsynligvis – i flere omgange, og årsagerne kan findes i et samspil af naturkatastrofer – med stor sikkerhed – eller som følge af avanceret krigsførelse – muligvis. Det sidste vil vi gemme til en blog om Levashov.
Måske skal vi tale om cirkulation i stedet for evolution. Og så er vi ude i at anskue menneskelig civilisation og bevidsthed som kosmiske cyklus’er (Det Store År).
Skulle nogen være i tvivl om, at den foregående civilisation var den nuværende langt overlegen, så bør nogen blot studere fænomenet med forflytning af store stenblokke. Den foregående civilisation kunne løfte stenblokke på op til 1000 tons (Baalbek), hvilket den nuværende ikke kan i dag. Dette ville have været ganske utænkeligt uden højteknologi – et emne, hvor videnskaberne historie og arkæologi også er fuldstændig på vildspor. De er nærmest dobbelt på skideren, da de i desperation og i indædt stædighed klamrer sig til deres ikke-underbyggede påstand om, at det var stenalder- eller til nød bronzealderkulturer, der byggede pyramider og sfinxer.
Se Egypten – Antikkens hi-tech-kultur
Hvorfor er det, at videnskaben er så rædselsslagen for at beskæftige sig med dette emne? Det er måske heller ikke videnskaben, der ryster i bukserne, men videnskabens ideologiske og finansielle bagmænd. De skabte darwinismen som et kontrol-apparat for menneskelig tankegang i Industrialismens og den klassiske Imperialismens tidsalder, så ideen om en forudgående højcivilisation ville ødelægge fundamentet for hjernevaskeriet. Ligesom deres videnskabsfolk aldrig har forklaret tyngdekraften, så har de heller aldrig fundet the missing link mellem aber og mennesker. Jesuitten og neo-gnostikeren Theilard de Chardin prøvede med skrønen om Piltdown-mennesket, men det viste sig at være svindel. Er der noget, jesuitterne ikke har haft deres beskidte fingre i?
Hullerne i videnskaben
Sorte Huller i Russell’ske forstand er noget andet en akademia’s koncept. Det er kreative spændingsfelter i de overlappende gasringe, hvor skabelsen foregår. Det er det galaktiske Vessica Pisces, skæringspunktet mellem to cirkler-3D. Det er Skaberens store holografiske 3D-printer. Sagen er, at skabelsen ikke fandt sted dengang men foregår hele tiden. Det er typisk for katolikker at indføre deres lineære tidslinie, Kronos-tricket, fra Genesis til Armageddon. Den darwinske evolutionstanke og den einsteinske mytematik + BigBang-teorien er på sin vis lige katolsk-metafysiske.
Men atomet da, det eksisterer jo, det ved vi alle! Gør det det? I både atomfysik og kemi opereres der hele tiden med elektriske ladninger, så springet til en atommodel, der ikke er partikelbaseret men elektrisk baseret burde ikke være helt umulig.
Hvis man studerer historien om, hvordan atomkernen blev opfundet, så skete det på særdeles vaklende grundlag med forkerte observationer + forkerte fortolkninger af disse (Rutherford-Bohr). Men teorien blev hængende som vedtaget faktum. Robert Otey forklarer, at han blev forbløffet over, at hans kemiprofessorer i 70’erne efter at have undervist i 3 måneder i atomkerne-teorien indrømmede, at det var et svindelnummer, et falsum, men at de var blevet tvunget til at undervise i det ifølge deres curriculum. Interessant! Der var altså en lille lomme i tid, hvor man godt vidste, at det var svindel, og den lomme lukkede sig blot et årti senere, hvor alle mere eller mindre regnede det for et vedtaget faktum, beyond theory. Yngre kemikere og fysikere stiller ikke længere spørgsmålstegn ved præmissen, for de er jo blevet undervist i det ifølge deres professorers curriculum, hvilket altså må lade formode, at det ikke bare er modeller og teorier men beviste fakts.
Det viser med stor tydelighed den mekanisme, der har dannet de store monolitiske og svært nedbrydelige dogmer i videnskaben. Der finder for at bruge et katolsk udtryk en kanonisering sted – kanon = lov – hvorved videnskaben forbryder sig groft mod sine egne hellige spilleregler, sin egen etik. Det er på den måde, videnskab bliver til en hybrid mellem religion og jura, og det er derfor, der kan vade kæmpe monstre fra Jura-sic Park rundt og æde alt, der bevæger sig i landskabet, for de har fået lov til det. At udøve kritik mod dem er til gengæld u-lovliggjort. Som glubske Tyranusaurus Rex’er tramper disse monstre rundt i den videnskabelige sump og skræmmer livet af deres bytte. Der findes rovdyr-kapitalisme, og der findes rovdyr-videnskab.
Siden vi har den fremme med dinosaurer og tyngdekraft: tag det fuldstændig roligt. Skulle det lykkes en stak perverse genetikere at genskabe dna’et på den her, så vil den skvatte sammen under sin egen vægt, inden du bliver ædt. Alle seriøse beregninger af vægt og muskelkraft foretaget af fysikere, anatomister og ingeniører har fastslået, at T-Rex ikke kunne stå på sine ben – medmindre Jorden dengang havde en langt mindre tiltrækningskraft end i dag. Hvilket er endnu en videnskabelig myte: Jordens konstante størrelse.
Otey’s professorer sagde altså: tag det som en model, en teori, lav jeres udregninger, få kurset overstået, deal with it – grundlæggende: kom videre, få jer et liv, og undskyld at vi har været nødt til at fylde jer med junk-science. De sagde det selvfølgelig ikke så tydeligt, for så var de blevet fyret. De antydede det for den skarpe elev.
Atomteorien går ud på, at atomet bliver holdt sammen indefra af en kerne, der påvirker visse partikler på mystisk og uforklarlig vis. Protoner, neutroner og elektroner er små partikler, der fiser rundt i deres mini-solsystemer med højhastighed og laver alle mulige tricks og hundekunster. Elektroner er ifølge teorien modsat ladede partikler. Disse elektroner formodes at operere i en slag ydre lag, en skal rundt om kernen. Ved at lægge én elektron ekstra til, får kernefyskken et nyt element i serien af grundstoffer i det periodiske system.
Walter Russell siger i sine to bøger The Secret of Light og Atomic Suicide, at der ikke findes den slags partikler, og at tyngdekraft ikke virker på den måde. Naturen har ikke en sådan form for lim, der holder partikelstumper sammen. Naturen er cellebaseret. Cellen er en livsform, atomet er en maskine, og fysikere har siden industrialismens gennembrud være forelsket i maksiner. Atomfysikkens stærke og svage kraft blev opfundet ad hoc, fordi den spekulative, metafysiske videnskab havde brug for at reparere på de alvorlige selvmodsigelser, den havde skabt via atomteorien. Atomet burde sprænge i luften på et splitsekund, men der måtte altså findes kræfter, der alligevel holdt det sammen. Disse kræfter blev derfor opfundet, for der var desperat brug for dem. På samme måde blev dark matter og dark energy senere opfundet af kvantefysikken, for der var desperat brug for at sætte labels på de 99.9% procent af Universet, der var pist-forsvundet i mytematikernes teoridannelser.
Russell har en terminologisk svaghed. Han bruger de samme ord som mainstream-akademia, men de har en anden betydning. Det har forvirret mange. Han burde have skabt en ny terminologi. Begrebet atomer burde være skiftet ud med begrebet elementer.
Russell og Tesla var nære venner. Når den ene gik og rodede med et problem, ringede han til den anden. Russell var ikke praktisk opfinder, han var til gengæld en ret kendt skulptør og kunstner. Tesla på sin vis kan meget vel have fået ideer til sine opfindelser af Russell.
Hollywood leger med på sin tegneserie-version af partikelfysikken. I Dan Brown’s Illuminati-flirt er der undsluppet en irriterende lille dæmonisk guds-partikel, der har tænkt sig at ødelægge Vatikanet.
Mere halløj i V-Town.
Et af partikelfysikkens-end-stunts hedder anti-stof. Gud bor ikke i en partikel, men fysikerne prøver stadigvæk at reducere skabelsen til en partikel, guds-partiklen. Russell definerer stof som bevægelse og antistof som stilhed. Russell er langt tættere på Kepler end på Newton, for Kepler talte om bevægelse i forhold til areal. Gud er Det Stille Magnetiske Lys, Himmeriget, The Kingdom of Heaven. Men fysikerne leder nu efter anti-protoner, anti-neutroner og anti-elektroner, der så skulle udgøre et anti-atom og anti-stof. Det bliver til et anti-absurd anti-cirkus. De leder konstant efter måder at undslippe Universet og Naturen på. Akademisk gaffa-tape.
Det tomme rum findes ikke. I tomheden gemmer sig et kosmisk katode-anode-kompleks, stilhed-bevægelse, Yin-Yang, implosion-eksplosion, …
Den kosmiske katode er Guds stille zero-point-tilstand, de 99.9%, som videnskaben fornægter – mens den forsøger at udrede sine udeladelser i baglokalet. Den spekulative streng-teori’s over-bookning af dimensioner er et absurd vildspor. Den kosmiske katode opererer i det ikke-dimensionelle felt, mens den kosmiske anode opererer i det dimensionelle felt med dets velbeskrevne tre dimensioner. Al bevægelse kommer fra ikke-bevægelse, fra stilhed. Dette er den ægte dualisme mellem det kosmiske sind og det kosmiske stof. Det er denne fine balance, som darwinisterne (eller hvad vi nu skal kalde dem) har perverteret til et bøddel-offer- eller hersker-slave-kompleks. Og før dem gnostikerne og katolikkerne som det rene-urene, hvor alt jordisk var urent og derfor Djævelens værk og burde derfor forsages og foragtes. Kirkefaderen Augustin mente, at kvinden var et urent væsen, da hendes instinkter var hæftet til forplantning. NB! Forveksl ikke dette med en legitimering af kulturmarxistisk subversiv perversion, hvor enhver form for ansvarsløs og destruktiv sex er kønspolitisk korrekt og dermed påbudt.
Godt og Ondt findes bestemt (vi behøver blot at åbne øjnene, se: Et Studie af ondskab), men det findes i det intentionelle univers, det menneskelige. At katoden er god og anoden er ond er derfor noget projektions-ævl, hvor mennesker anskuer Universet, som det selv agerer og tænker – as below, so above. Det er abrahamisk BS, det sabbatæiske narrativ om Gudfader med langt skæg, der beordrer fjenderne af sit udvalgte folk nedslagtet som får i form af et offer til Den Døende Gud. Ondskaben trådte ind i verden, da et navnkundigt stammefolk i Mellemøsten introducerede Jahwe, den psykopatiske gud med de to ansigter, Janus-fjæset, demiurgen, tronraneren, Ødelæggeren forklædt som Skaberen.
Se Farrell og de Hart: Jahwey The Two Faced God.
Der er en verden til forskel fra de abrahamiske religioners tyranniske, angry-pissed-off, straffende, antropomorfe, usurpatoriske pseudo-gud til Skaberen, Universets Stille Magnetiske Lys. Den langskæggede fadergud skulle altså være af hankøn. Faste læsere af bloggen Paradigmet vil vide, at feminisme ikke står i høj kurs her. Men i kosmologisk sammenhæng er det særdeles betænkeligt, at det feminine – ikke feministiske! – element af Universet er dømt ude. Det ligger i sproget. Det germanske sprog er – som sædvanlig, men desværre ikke anerkendt – det engelske overlegent. Man på engelsk er hankøn og skal dække mennesket. Mensch på germansk er både han- og hunkøn. NB! Ikke det kulturmarxistiske intetkøn eller multi-forvirret-køn, men menneske-køn.
Russell siger et sted:
Gud er lys. Gud er kærlighed. Gud er [inexorable] lov. Gud er usynlig, ubevægelig, uden køn, udelt og ubetinget hvidt magnetisk lys i form af et almægtigt, alvidende og allesteds-nærværende sind.
Så meget, så godt. Dog, en af grundene til at Russell ikke bliver regnet med til det videnskabelige selskab ligesom fx Tesla, Velikovski, Levashov, Hannes Alfvén skyldes den kult, som Russell og hans kone skabte omkring sig. NewAger’ne elsker dem af samme grund. Russell hævdede at være en reinkarnation af da Vinci og Lao en ditto af Lao Tsu. Så er man selv ude om det. En anden komponent er deres totale fornægtelse af, at der findes ondskab i verden, for Gud er kun kærlighed. Det er vand på møllen til hele NewAge-pseudofilosofien om positiv tænkning, tiltrækningens lov osv, rent pladder, når den slags først kommer i hænder på en newager. Og derudover civil-kujonagtigt, da det nærmest fordømmer, at vi stiller ondskabens eksponenter til regnskab. Tænk positivt og se bort fra det svineri, der sker for næsen af dig, for det går over af sig selv …! New World Order elsker newagere lige så højt som narkomaner, fjernsynskiggere, kulturmarxister, satanister, kønsforvirrede, analfabeter, sportsidioter – listen er lang, men fællesnævneren er: passiviserede, forvirrrede og uansvarlige.
Russells anden hovedfejl er som nævnt, at han bruger mainstream-terminologi til at beskrive noget helt andet. Det skaber en masse forvirring.
Wallace Thornhill er den mest kendte eksponent for Det Elektriske Univers i traditionen efter Hannes Alfvén, der introducerede det. Elektroingeniøren Alfvén fik en nobelpris for det, hvorefter han blev udelukket fra det gode selskab. Verden var ikke klar til den slags, for det gode selskab var i selvsving over BigBang, deres nye skabelsesmyte. Det berettes om, når han dukkede op ved kongresser i det Astronomiske Selskab, at folk hviskede i krogene: Se, der kommer ham, der fik nobelprisen, og som vi ikke må snakke med. De havde simpelthen ondt af, at nobelprisen for en gangs skyld gik til rigtig videnskab, for han var jo ikke en af de matematikere, der havde kuppet astrofysikken, men derimod en praktiker. Han observerede i sit arbejde for den svenske regering, at der opstod plasmafænomener i forbindelse med stærkstrømsanlæg. Nordmanden Birkeland havde forinden observeret auroraen/nordlyset og derefter genskabt den nedskaleret i et laboratorium. Dette er altså rigtige fysikere, ikke teoretiske fysikere. Alfvén skabte derefter en universel model for Universet, hvilket i dag er blevet til Det Elektriske Univers. Et absolut ikke færdigt og afklaret projekt, men et der er kommet meget heldig fra start – bortset fra at mainstream nægter at studere det.
Ikke at der ikke eksisterer plasmafysik, der bliver taget alvorligt, for det gør der. Men den bor i et slags reservat, der har lov til at bidrage så længe, dens dyrkere ikke stiller seriøse spørgsmål ved de vedtagne præmisser men blot bidrager i konsensus med deres kuriositeter.
Otey – fra husmødre og hill-billies skal man høre sandheden.
Revival of the serious laymen.
Thornhill går ikke så langt som Otey som til at afskaffe atomteorien. Han omformulerer den, korrigerer den og indfører elektricitet, ikke tyngdekraft som styrende kraft. Det var, hvad matematikeren Maxwell havde foreslået. Det giver derfor positive og negative ladninger for det, vi har kaldt tyngdekraft. Det giver en deformering af atomet. Men det er foreneligt med Paris Spaulter’s fortolkning om areal og acceleration, for Thornhill placerer tyngdekraften/kompressionen i overfladen og ikke i kernen af en planet. Den positive ladning er indenfor overfladen, den negative er udenfor. Det vil også kunne forklare de anormaliteter ved tyngdekraft, der er målt i meget høje tårne og meget dybe mineskakter. Tyngdekraften er heller ikke universel som Store G, for vi har en tendens til at gå ud fra, at det er alle steder som på Jorden.
Det Elektriske Univers løser problemer i lange baner. I den newtonske model skal legemer nærmest vide noget om hinanden, for at kunne følge tyngdekraftens lov. Arrestér naturen, den slyngel, den følger ikke loven! Men i et elektrisk univers er det nøjagtigt, hvad der finder sted. Alle planeter kan som elektriske systemer til enhver tid mærke de andre i systemet. Det er plugged-in i den solare lyskæde, og den interplanetare kommunikation – hvis vi må være så frække at bruge et ord, der er reserveret til udveksling af information mellem intelligente væsener – foregår uden forsinkelse. Hvilket igen betyder, at lysets hastighed ikke er den højeste overhovedet. Det er i øvrigt allerede langt overskredet, hvis man som partikel-fysiker regner på hastigheden i elektronernes spin omkring protonet.
Men så ankom Flat Earth-teorien, og så kan vi godt glemme det hele igen … Måske skulle flat-eartherne begynde at studere Det Elektriske Univers, så de ikke helt melder sig ud af selv alternative selskaber, hvor de kan tages alvorligt. De kan måske ‘redde’ deres teori ved at finde ud af, at de anomalier, de hævder at have observeret, er elektriske fænomener. Men det må de selv rode med. Min personlige teori om den teori er, at det er et implantat, der skal få os til at tænke i andre baner det det, som The Secret Space Program og den nye Space Based World Economy har arbejdet på. Det er i samme skuffe som Rosswell-myten og den evindelige snak om aliens og UFO’er. Rosswell er 100% et hoax, for der foregik noget helt andet.
Der eksisterer uden tvivl civilisationer i rummet med evner og teknologier, der ville sætte dem i stand til at transportere sig til Jorden. Det er ikke det, der er sagen. Sagen er, at de observationer, folk har gjort på UFO’s uden tvivl er militære programmer. Disse har fundet sted siden før 2. Verdenskrig og i særdeleshed under og efter. Det er Tesla-tech, som videnskabsfolk i Tyskland arbejdede på, og som de havde fået fra deres serbokroatiske venner, der igen havde fået det, da amerikanerne ville tvinge Tesla til at arbejde på et våbenprogram for regeringen. Det nægtede han og gav sine blueprints til sin svoger, der var kroatisk ambassadør. Noget af det gik til Tyskland, andet gik til Rusland via Serbien. Efter krigen gik det til Antarktis og til Argentina. Noget vendte tilbage til USA efter at man importerede tyske videnskabsfolk i NASA.
Tyskerne, eller som Douglas Dietrich siger, det Tredje Rige i eksil, fløj rundt i deres skildpadder (Schildkröten) og gjorde livet surt for amerikanerne helt op i 50’erne. Det bekræftes også af William Lyne. Hvad der derefter skete med dem, kan vi gætte på. Amerikanerne i dag har alle mulige programmer kørende, og hvor meget mere bekvemt kan det blive, at CIA har startet og vedligeholdt det meeme, der dyrkes som NewAge-religion i diverse UFO-communities. En af de importerede nazister, Werner von Braun, forud-beskrev, at den næste store svindel, der næste fjendebillede, afløseren for ISIS, der afløste kommunismen, der afløste nazismen, der afløste … tyrkerne og mongolerne (den var så god nok), der skal skræmme den levende Jesus ud af jordens befolkninger, vil blive en fake alien invasion. Al Qaeda In Space – vær så god at skid i bukserne!
En af de videnskabsmænd, der leverede teknik til tyskerne var østrigeren Victor Schauberger. Som forstmand studerede han vand hele sit liv. Som Wallace Thornhill siger: De ægte natur-filosoffer er matematikerne overlegne, for de har ikke abstraheret sig fra virkeligheden. Videnskaben tabte kæden og løb af sporet for 100 år siden (Einstein) og har ikke siden fået samlet den op igen. Men Schauberger tog hele tiden udgangspunkt i naturen, for han befandt sig hele tiden i den.
Spiraler, organiske former, vand og langt skæg
Han så, hvordan vandet selv og fiskene i vandet nærmest trodsede tyngdekraften. Laksen skabte et slags torsions-felt omkring sig via den gæller, der satte den i stand til at svømme ubesværet imod stærk strøm. Til gengæld fandt den stille lommer i rivende floder, hvor den kunne hvile. Schauberger studerede de spiralformede bevægelser i vandets bevægelser og udviklede modeller, hvor man kunne hjælpe floderne – og menneskene ved floderne – så vandet ikke løb over sine breder. I dag etableres der sådanne projekter i Østrig, hvor vandet genskaber et sundt flow. Man placerer en række store sten på nøje valgte steder i en flod. Herved flyttes den ellers destruktive kraft fra vandet til midten af floden, så den ikke belaster siderne. Det betyder også at flodbunden omorganiserer sig, så de omtalte stille lommer gendannes, og fiskelivet trives.
De store oversvømmelser, der finder sted, skyldes overskovning. På en bjergtop eller -side, der enten mangler træer, eller hvor træerne er en plantet monokultur, får vandet kun, hvad Schauberger kalder en halv cyklus. Den sunde skovjord er et tykt humuslag, der kan suge enorme mængder af vand og lagre det dybt, inden det bliver lukket ud igen. Det kalder Schauberger for en hel cyklus. Paradoksalt nok bidrog han i sine yngre dage selv til skovningen, for han brugte sine unikke opfinder-evner til at udvkle nogle særlige slisker, hvor store træstammere kunne transporteres ned vha minimalt forbrug af koldt vand.
Han udviklede en plov, der ikke vendte jorden og ødelagde den naturlige lagdeling og dens liv, men i stedet lavede en dobbeltvending og lagde den på plads, som den var blevet pløjet op. Han studerede vandet helbredende kraft og udviklede anlæg til revitalisering af vand vha mineraler og vortex-bevægelser. Han udviklede vandrør, der ikke var lige men dobbelt spiralformede, hvor vandet løb igennem næsten uden modstand, da det er vandets naturlige bevægelser. Og det er her hans overskridelse af tyngdekraften kom ind i billedet. Han konstruerede en underlig maskine, hvor han brugte vandets evne til at gå imod sin egen strøm. Vandets elektriske kræfter og dens vortex-spiralformede evner blev indbygget i et apparat, der snurrede med høj hastighed, 2-3000 omdrejninger i minuttet. Inde i det gryde- eller kedellignende apparat fandtes der lameller, der lignede gæller er kamre i et et sneglehus. Han skulle efter sigende have smadret taget på et hus, da den kørte. Der findes kun kun et eksemplar af den i dag, og den virker, dog uden at lette. Det skyldes, at der mangler to komponenter i toppen, som Schauberger selv beskrev som nødvendige for processen.
Hvorvidt det lige netop var den teknologi, der befandt sig i de tyske skildpadder eller Haunebu’er – de havde flere navne, og der var flere typer – er svært at vide. William Lyne gætter på, at tyskerne også ombyggede ubådsskrog til at kunne flyve, for der blev observeret flyvende cigarer i luften. Det lyder en anelse klodset, men når man først har den form for teknologi, er vægt ikke længere et problem. Husk at den kraft, der kaldes for tyngde er ufattelig svag i forhold til elektricitet og den elektriske tilstand ved navn magnetisme eller elektromagnetisme. Vi taler om 1:1038. Der er i nyere tid observeret flyvende maskiner på størrelse med fodboldbaner. Og at de eksisterer er ubetvivleligt, for der er masser af almindelige mennesker, der ikke hænger ud på skumle UFO-sites, der har set dem. Og nej, vi behøver ikke importere dem helt fra Plaiaderne eller Sirius, når de bliver lavet i kældrene under Nevada-ørkenen eller i Boing-fabrikkernes afdelinger for Search & Development.
Der er altså flere former for råddenskab i fysikken og i videnskaben. Og en af de helt alvorlige er videnskabens medvirken til de programmer, der kører bag ryggen på menneskeheden og som bestemt ikke er til gavn for os. De er kun til gavn for en række af de værste individer, der bebor denne planet. Til gengæld er deres destruktive eksperimenter betalt af de penge, de har stjålet fra menneskene via deres beskatninger, plyndringer og finans-svindelnumre. Det er Ågerkarlenes Dæmoniske Stjernekrig, der er under oprulning.
The Global Deep State har altså allerede ophævet tyngdekraften. Jeg vil kvalificeret gætte på, at de ikke længere bruger udtrykket, når de taler sammen indbyrdes. Deres virkelig er ganske og aldeles forskellig fra andre menneskers.
Lad bare de landsbytåber, paphoveder og små uvidende, naive stakler, der bebor denne planet, tro, at der er noget, der fungerer, som vi har fortalt dem. Tyngdekraft opfandt vi i Royal Society of Science allerede i 1600-tallet, og de er ikke siden kommet sig over den. Senere gav vi dem Einstein og hele det jødiske svindelnummer. De spiste op, og de forlangte anden ombæring! They loved it! Så gav vi dem gnomen Hawking (Du vil da ikke kritisere en krøbling i en rullestol, vel?). De elsker stardom og entertainment, og så gav vi den klovnen Michiu Kaku, så han kunne gi dem noget kaka i Illustreret Videnskab. Og Robert Dawkins, så de ikke får for meget gang i kreativiteten. Og hvis de absolut vil skeje ud med kreativitet, så får de satenædeme noget UFO-logi, noget flat-earthing, og noget festligt fyrværkeri på himlen. Indrøm det: 9/11 var simpelthen et kunstværk! And they loved it! Men de forstod intet af det.
[et tænkt citat fra en skåltale et sted under jorden i Nevada]
Jeg indrømmer
at svinge mellem den stærke og den mindre stærke teori om, hvorvidt det hele er et bevidst svindelnummer. Jeg er ikke et sekund i tvivl om, at der hele tiden har været svindel involveret, men spørgsmålet er, i hvilken grad svindel og ond vilje skal vejes op imod dumhed og fejltagelser. Selvom The Powers That Be i de 400 år, vi har skitseret, altså siden Kepler’s 3. lov blev negligeret, aldrig har stået tilbage for svindel, historieforfalskning og manipulation, så kunne man teoretisere – og dette her er vitterlig konspirationsteori – hvorvidt de ikke blot har observeret fejl og dumheder og sagt: Aha, hvad kan vi bruge det til?
Det hedder kybernetik. Det er et dynamisk styresystem beregnet på at kontrollere supertankere og ocean-linere, altså langsomt-reagerende store, komplekse systemer/fartøjer. Det stammer fra en tid, hvor der ikke fandtes computersystemer, der kunne gøre det samme. En enkelt variabel, der flytter sig forude i farvandet, omdefinerer hele styringen og retter alle andre variabler ind. Målet er måske det samme, men kursen, hastigheden, og motorkraften kan justeres. I kybernetikken kan endog målet justeres.
Det er sådan The Powers That Be opererer. De har indtil videre været i stand til at justere både mål og midler og tilsyneladende holde en kurs gennem århundrederne, uden at passagererne på skibet har været andet en glimtvis klar over det. Billedet er ikke tilfældigt valgt, for The Powers opererer som bekendt efter Maritim Lov. De sejler konstant og variabelt under bekvemmelighedsflag i internationalt farvand.
Er videnskabsfolk da dumme eller korrupte? Well, de fleste er både intelligente og overbeviste om, at de tjener en god sag. I deres egen optik er svaret nej. Der findes selvfølgelig de, der ved, at de medvirker til noget, der er uetisk. Der findes også de, der på trods af en nagende tvivl i baghovedet lader hånt om denne og monterer et sæt skyklapper. Og så er der de skræmte. Både Newton og Einstein har på et tidspunkt udtrykt tvivl om deres egen fortræffelighed. Det kunne være et argument for, at de ikke til fulde forstod det spil, de bidrog til, og at de var nyttige idioter for kybernetikerne (.. skal du kalde Sankt Einstein for en idiot!?).
Men det er ikke så simpelt. Undervurder ikke de døde vinkler. Et geni med skyklapper på har stadig skyklapper på. Når intellektuelle først tror, at de ved noget, kan de være fuldkommen overbeviste om deres egen fortræffelighed og ufejlbarlighed, og konsekvenserne af højt begavede dumheder udført af folk med indflydelse er mange gange så destruktiv som dine og mine undermåler-dumheder, der højst gør en kat fortræd.
De 10 bud for videnskabelig svindel
Svaret kan synes indlysende for dig, men for de fleste mennesker er den slags næsten utænkeligt. Mennesker har denne uhelds-bringende godtroenhed overfor autoriteter som børn overfor deres forældre. Vi udfører en slags spontan regression, hver gang nogen fremstår som en autoritet, hvorved vi momentant genoplever os selv som 7 år gamle og reagerer som sådan. Et barn drømmer ikke om, at dets forældre ikke vil dets bedste, og dets tolerance overfor urimeligheder er næsten uendelig. Selv børn, der er blevet misbrugt har en loyalitet overfor deres forældre, der er både rørende og skræmmende på én gang. Det er den mekanisme, som misbrugerne af vores autoritetstro og loyalitet udnytter. Men det svarer stadigvæk ikke på hvorfor.
Et første svar
på Hvorfor gjorde I det? ville simpelthen være:
Fordi vi kunne. Jeres bagdør stod piv-åben, I sov i timen, I bad selv om det. Ligesom det er en skorpions natur at stikke med sin giftbrod, er det vores natur at svindle. Vi mener ikke selv, vi er psykopater.
Et andet svar ville være:
Jeres uvidenhed kombineret med vores viden er vores magt og jeres afmagt. Det var det skjulte lag i de guldmalede bogstaver, der var forsænket i porten til katedralskolen, hvor du, morton_h, the blogger, henslæbte din skoletid i alderen 15-17 år: Viden er magt. Vi ‘glemte’ bare at fortælle, at det ikke var din viden. Medmindre du bliver inviteret, selvfølgelig. Og vi bryder os ikke om party-crashing!
Et tredje svar ville være:
Det følger blot en ældgammel praksis udviklet af Imperiet. Som romere besatte og besejrede vi lande og folkeslag, stjal al tænkelig viden, teknologi og kultur, hvorefter vi enten udslettede dem eller gav dem Kejseren eller Kristus. Vi er romernes retmæssige efterkommere, og derfor har vi en hævdvunden ret til at gøre det samme. Det er nærmest en pligt, og vi er meget pligtopfyldende. I må egentlig godt have lidt medfølelse med os.
Et fjerde svar ville være:
Fordi I ikke kan håndtere sandheden. Vi giver jer den ædle løgn i vores alfaderlige bekymring for jeres velfærd. Vi håndterer den viden, I ikke har godt af. Fårene har brug for sine hyrder. Vi vil kun jeres bedste, selvom vi er nødt til lyve jer op i ansigtet – eller tage livet af jer. Og vi kan jo se på jer, at I er langt gladere for at tro end for at vide. Vi har kastet en forbandelse, der nu har sit eget liv. Den kan ikke kaldes tilbage. Den kan allerhøjest destrueres, men det evner I ikke, for I har indtaget falsk viden som en gift.
Et femte svar – en variation af det fjerde – ville være:
Der findes to slags viden og to slags religion. Den ene viden/religion er for folket. De vil gerne høre godnathistorier og leve i ubekymrethed. Den anden er for inderkredsen, for de få guds udvalgte, for os. Vi vil holder meget af egentlig viden, fordi vi holder af magt. Vi ser et slags interessefællesskab her. Fortidens religioner er i dag blevet til videnskab.
Et sjette svar – en stærk udlægning af den omtalte teori – ville være:
Vi har al den viden, vi har brug for. Vi bruger den i takt med, at den kan bruges. Vi har altid haft den i vores arkiver fra de ældste tider, den foregående civilisation. Den dag, vi ikke længere har brug for dette sted, udsletter vi det.
Et syvende svar – en uddybning af det sjette – ville være:
Vi er teknokratiet. Vi forfiner vores viden og teknologi til at omfatte alle måder, hvorpå vi kan kontrollere livet på jorden. Det gælder plante-, dyre- og menneskeliv såvel som jordens klima og alle jordens ressourcer. Vi anser spontant, sundt og afbalanceret liv for at være ukontrollerbart. Tekknokultur kommer til at erstatte natur.
Et ottende svar ville være:
Bordet fanger. Vores stakkels videnskabsfolk har jo en hel hyldemeter af publikationer og afhandlinger og dissertatser og artikler og bøger bag sig. De har en karriere, de har et fagligt ry, de har en fast plads i akademia og et fast job med penge. Vi har investeret i dem. De kan jo ikke vende på en tallerken på en dag, det må I forstå. De ville jo tabe ansigt.
Et niende svar – det gammeltestamentlige – ville være:
Viden er farlig for mennesket. At det spiste af kundskabens træ var syndigt. Vi må sørge for at kalde denne viden tilbage ved at låse den inde, ødelægge den, forurene den, udvande den, vende den på hovedet, skabe videnssurrogater, lede den på vildspor. Men vi har selvfølgelig arkiveret den rigtige viden forinden. Vi kan også finde på at bruge den – imod jer.
Et tiende svar ville være:
Plejer er ikke død. Viden har en inerti. Der er skrevet lærebøger og leksika om viden. Viden står på hylderne. Viden blinker på skærmene. Viden kommer ud af højttalerne. Viden producerer viden. Vi står på skuldrene af giganter. Man skal ikke fifle med naturlovene … altså: I skal ikke fifle med naturlovene, det skal vi nok gøre for jer.
_______________________
Det et temperament- og fortolkningsspørgsmål, hvilken kombination af ovenstående svar, der passer med situationen. Et svar, jeg ville være forsigtig med, er:
Hvor skulle vi have vidst det fra?
I svindlede i Antikken, I svindlede i Renaissancen og i Oplysningstiden. I svindlede i for-forrige århundrede og i forrige, og I er ikke holdt op med det endnu eller på noget tidspunkt derimellem. Så hold op med at spille dumme og uskyldige. Og hvis I har mod til at indrømme jeres fejltagelser, ser vi sådan set ingen grund til, at I ikke allerede er i fuld gang med at råde bod på det. Det er der imidlertid ikke noget tegn på.
Anger og selverkendelse er fremmed for psykopater og svindlere. Vi må beklage, at så mange hæderlige videnskabsfolk er blevet kompromitteret. Og videnskaben opererer også i fårefolde. Én gren af videnskab bliver skåret bort fra en anden, der mister forbindelsen til den tredje, der ikke længere har fælles interesse med den fjerde … Videnskaben er blevet fragmenteret. Det kan være nyttigt som et stadie at skille brikkerne ad for at se nærmere på dem. Men så skal de samles igen i fin og forbedret stand, og det er bare aldrig sket. Det er den videnskabelige bayloniske begrebsforvirring forårsaget af materialisme, reduktionisme og over-specialisering.
Resultatet er blevet en tværkollegial disrespekt på den ene side, og på den anden side en grundlæggende mangel på nysgerrighed og forståelse for, hvad de andre går og laver. Selv videnskabsfolk, der arbejder i samme hovedfelt, skal oversætte for hinanden, hvad de mener, når de udtrykker sig. Videnskaben har taget forskud på den globale landsby, hvor alle taler hvert sit kaudervælsk, der lyder ens, men ikke betyder det samme. Denne fragmentverden af viden er stort set umulig at formidle.
Der er en grundsætning for sund viden: den skal være simpel. Det kan godt være empirien og mellemregninger er komplekse, men hvis resultatet ikke kan fremlægges simpelt, så er der noget galt. Det var just, hvad vi har set med dagens case-study, tyngdekraften. Det dunkelt tænkte er det dunkelt talte.
Og så er vi tilbage til den husmor, der jordede Newton og Einstein ved blot at tage sig den fornødne tid og umage at gøre det, som de høje herrer burde have gjort selv: læse indenad, gøre sit hjemmearbejde, tage udgangspunkt i observationer og data og forblive tro med den etik, som videnskaben hævder at stå inde for.





















